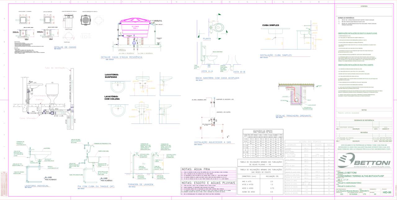
Projeto Hidráulico e Hidrossanitário
ConstrutorasO projeto hidráulico e hidrossanitário é responsável por planejar toda a infraestrutura de abastecimento de água, esgoto, águas pluviais e aquecimento de uma edificação.
Mais do que desenhar tubulações, esse projeto garante eficiência, segurança e economia no uso dos sistemas hidráulicos, evitando desperdícios, vazamentos e manutenções futuras.
Um projeto bem elaborado define com precisão:
- Pontos de entrada e distribuição de água fria e quente;
- Sistema de esgoto sanitário e ventilação;
- Captação e drenagem de águas pluviais;
- Dimensionamento correto de tubulações, reservatórios e bombas;
- Integração com os demais projetos (arquitetônico, estrutural e elétrico).
Os benefícios de um bom projeto hidráulico e hidrossanitário incluem:
- Segurança e durabilidade das instalações;
- Economia de materiais e consumo de água;
- Facilidade na execução e manutenção;
- Conforto e funcionalidade no uso diário dos ambientes.
Na BETTONI Engenharia e Construção Civil, desenvolvemos projetos hidráulicos e hidrossanitários personalizados, com foco em eficiência, sustentabilidade e integração técnica.
Cada detalhe é planejado para garantir instalações seguras, práticas e compatíveis com o padrão de qualidade das nossas obras.
